The Application Gallery features COMSOL Multiphysics® tutorial and demo app files pertinent to the electrical, structural, acoustics, fluid, heat, and chemical disciplines. You can use these examples as a starting point for your own simulation work by downloading the tutorial model or demo app file and its accompanying instructions.
Search for tutorials and apps relevant to your area of expertise via the Quick Search feature. Note that many of the examples featured here can also be accessed via the Application Libraries that are built into the COMSOL Multiphysics® software and available from the File menu.
In this shape optimization example, the mass of a bracket is minimized by changing the size and position of a number of geometrical objects. The requirements give limits both on the lowest natural frequency, and on the maximum stress in a static load case. This means that results from ... Read More
Just like optical lenses focus light, electric and magnetic lenses can focus beams of charged particles. Systems of magnetic quadrupole lenses find a common use in focusing both ion and particle beams in accelerators at nuclear and particle physics centers. This model shows the path of ... Read More
A Gaussian beam is launched into BK-7 optical glass. The material has an intensity-dependent refractive index. At the center of the beam, the refractive index is the largest. The induced refractive index profile counteracts diffraction and actually focuses the beam. Self-focusing is ... Read More
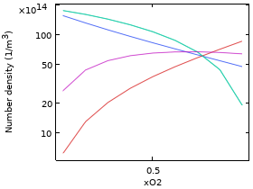
This tutorial model solves for a one-dimensional capacitively coupled plasma reactor in a mixture of argon/oxygen. Important aspects and strategies for modeling electronegative discharges are discussed. Read More
This tutorial shows how to clean an imported CAD geometry using Geometry Cleanup. This helps to improve the mesh and reduce the total number of elements. Read More
Developments in the last decade have made circuit quantum electrodynamics (cQED) the leading architecture for quantum computation. cQED is the solid-state version of cavity QED, which studies the basic light-matter interactions at the quantum level. This model examines one of the main ... Read More
This tutorial illustrates how to use the Uncertainty Quantification (UQ) functionality to answer questions regarding sensitivity and reliability of a flow reactor with thermal decomposition. The tutorial investigates what uncertainties in parameters dominates the survival of a nutrient ... Read More
Microlaboratories for biochemical applications often require rapid mixing of different fluid streams. At the microscale, flow is usually highly ordered laminar flow, and the lack of turbulence makes diffusion the primary mechanism for mixing. While diffusional mixing of small ... Read More
Power inductors are a central part of many low-frequency power applications. They are, for example, used in the switched power supply for the motherboard and all other components in a computer. Computer simulations are necessary in the design of such inductors. This model calculates the ... Read More
This tutorial model solves for an inductively coupled plasma reactor in a mixture of argon/oxygen. The model computes the fluid flow and gas heating. Important aspects and strategies for modeling electronegative discharges are discussed. Read More
