The Application Gallery features COMSOL Multiphysics® tutorial and demo app files pertinent to the electrical, structural, acoustics, fluid, heat, and chemical disciplines. You can use these examples as a starting point for your own simulation work by downloading the tutorial model or demo app file and its accompanying instructions.
Search for tutorials and apps relevant to your area of expertise via the Quick Search feature. Note that many of the examples featured here can also be accessed via the Application Libraries that are built into the COMSOL Multiphysics® software and available from the File menu.
In this model, we use the Pressure Acoustics, Boundary Elements physics interface to analyze the acoustics of a generic head and torso simulator. This is a manikin head used to do standardized measurements for hearing aids, mobile phones, and headphones. The model showcases some ... Read More
This is one of the two models from the blog post about heat transfer in the subsurface: Coupling Heat Transfer with Subsurface Porous Media Flow Note: Poroelasticity is not included here. Read More
Roll forming processes are widely used in metal processing, battery electrode production and manufacturing processes. The model demonstrates the process of roll forming, where a workpiece is pressed after passing through a pair of rollers. The workpiece is carried between rollers by ... Read More
Designing structures and open spaces with respect to sound quality is important for concert halls, outdoor environments, and even the rooms of a house. Simulating acoustics in the high-frequency limit, where the wavelength is smaller than the geometrical features, can be done with ray ... Read More
This example demonstrates the modeling of a sandwiched composite blade made up of carbon–epoxy, glass–vinylester, and PVC foam materials. Three different methods are used to model the sandwich composite structure: Layerwise theory, Equivalent Single Layer (ESL) theory, and a multiple ... Read More
An automotive midwoofer is modeled using the lumped parameter approach. The electrical and mechanical components are modeled using a lumped electric circuit, which is coupled to a finite element model for the acoustics using the Lumped Speaker Boundary feature. The large signal ... Read More
Microlithography lenses are used to project the image of an integrated circuit onto a silicon substrate. This tutorial demonstrates how to create a 21-element fused silica lens which has a NA of 0.56 which is designed to be used at a wavelength of 248nm. The lens, which has a total ... Read More
This application demonstrates how the Application Builder in the COMSOL Multiphysics® software can be used to make advanced cable modeling available to a general audience. At its core is a multiphysics model based on the technology introduced in the Cable Tutorial Series. The ... Read More
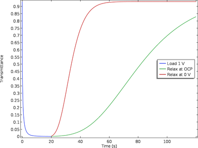
Electrochromic devices (ECDs) may be employed in ”smart” windows, for instance in buildings or motor cycle visors, where the transparency of the device can be controlled by applying a voltage. ECDs make use of the fact that the absorbance of visual light for a chemical species in a ... Read More
This tutorial computes the transfer matrix of a tube and coupler measurement test setup. This type of setup is used for standardized testing, for example, for miniature loudspeakers or hearing aids. The Port boundary condition in Pressure Acoustics, Frequency Domain is used together ... Read More
