See How Modeling and Simulation Is Used Across Industries
Multiphysics modeling and simulation drives innovation across industries and academia — as is evidenced by the many uses showcased in the technical papers and posters presented by engineers, researchers, and scientists at the COMSOL Conference each year.
Draw inspiration from the recent proceedings collected below, or, to find a specific presentation or filter by application area or conference year/location, use the Quick Search tool.
View the COMSOL Conference 2025 Collection
Modified Atmosphere Packaging (MAP) is a widely applied technology for the shelf-life extension of fresh and fresh-cut fruits and vegetables. This technique relies on modifying the gas composition inside de package by the respiratory activity of the product and the gas exchange through ... Read More
Figure 1 shows a simplified scheme of a typical industrial steam methane reforming (SMR) reactor, which is a top-fired, packed-bed multi-tubular chemical reactor, consisting of a series of catalytic tubes arranged within a furnace. The tubes contain two adjacent catalytic sections filled ... Read More
Electrochemical Impedance Spectroscopy (EIS) is a technique commonly used to investigate the properties of the electrode surface and the bulk electrolyte in an electrochemical cell [1]. An AC excitation signal is applied with a frequency range, typically from 0.01 Hz to 1 MHz, and the ... Read More
The throwing power is an important criterion for the industrial use of an electrolyte in electroplating applications. Using the Electrodeposition Module and COMSOL Multiphyiscs® it is possible to simulate the thickness distribution for various electroplating geometries. For a realistic ... Read More
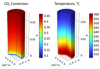
Power-to-gas is an important area of research for reducing greenhouse gases and seasonal energy storage. Methane, with a Lower Heating Value of 50 MJ/kg, is already a commonly used gas, and its synthesis using green hydrogen production (electrolysis of renewable energy) is a remarkable ... Read More
The "Power to Gas" technology is a promising alternative for storing renewable electrical energy through energy carriers. This technology involves using surplus energy from renewable sources to obtain green hydrogen through water electrolysis. Since hydrogen storage and transportation ... Read More
Activated carbon filtration has proven to be a reliable method to clean indoor air. In such a system, air, contaminated with VOCs, is led through the filter where the contaminants are adsorbed onto the filter. However, for the long term stability of the air purification system, it is ... Read More
The blast furnace shaft is a huge counter flow reactor in which heat and mass exchange play a significant role in its mathematical modelling. The heat exchange model is already available in COMSOL Multiphysics® via the Local Thermal Non-Equilibrium interface. This multiphysics coupling ... Read More
Heterogeneous photocatalysis an advanced oxidation process (AOP) which in combination with a catalyst and UV irradiation completely mineralizes organic pollutants from water or gases into harmless compounds such as carbon dioxide (CO2) and water (H2O). Photocatalysis as a process is ... Read More
In the construction sector, the concrete and the steel bars represent still the key components, although they are very vulnerable by the atmospheric agents, as in the case of their degradation caused by corrosion. The value of the concrete carbonation may enhance the corrosion around the ... Read More

 
                                 
                                 
                                 
                                 
                                 
                                 
                                 
                                 
                                