飞秒激光烧蚀TC4钛合金形貌的数值模拟
Published in 2020
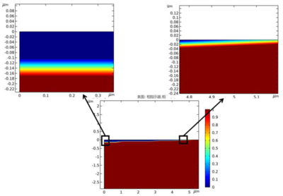
TC4钛合金有重量轻、塑性好、比强度高、耐腐蚀性好等诸多优良特性,因此被广泛用于航空航天、生物学、医学等领域。飞秒激光的脉宽为飞秒量级,远小于电子-声子耦合时间(皮秒量级),即在飞秒激光脉冲作用时间内晶格来不及升温,可实现真正意义上的“冷”加工。由于飞秒激光常用于微小区域的精密加工,在很短的时间内难以利用仪器直接检测材料温度,因此需要开发能够精确模拟材料温度的数值模型。利用COMSOL Multiphysic飞秒激光烧蚀钛合金的双温模型,建立一个二维轴对称数值计算模型,研究不同激光能量密度单脉冲飞秒激光的对Ti6Al4V基体的烧蚀情况。从烧蚀形貌、热影响区两个方面加以研究分析,得到了不同激光参数下电子系统和晶格系统温度弛豫过程;探究了不同能量密度对钛合金去除形貌的影响。

Download
- COMSOL海报-王靖.pptx [Repaired].pdf - 0.45MB