The Application Gallery features COMSOL Multiphysics® tutorial and demo app files pertinent to the electrical, structural, acoustics, fluid, heat, and chemical disciplines. You can use these examples as a starting point for your own simulation work by downloading the tutorial model or demo app file and its accompanying instructions.
Search for tutorials and apps relevant to your area of expertise via the Quick Search feature. Note that many of the examples featured here can also be accessed via the Application Libraries that are built into the COMSOL Multiphysics® software and available from the File menu.
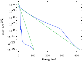
This tutorial models a DC glow discharge by solving fluid-type plasma equations fully coupled with the homogeneous and time-independent electron Boltzmann equation in the classical two-term approximation. The approximated Boltzmann equation is solved for each position of space and is ... Read More
DC glow discharges in the low-pressure regime have long been used for gas lasers and fluorescent lamps. DC discharges are attractive to study because the solution is time independent. The 1D and 2D models show how to use the DC Discharge interface to set up an analysis of a positive ... Read More
A 2D model of a steel bar is used to simulate oil quenching from an austenitic state. Both diffusive and displacive phase transformations are used, and the phase composition is computed in the radial direction of the bar. Read More
This example demonstrates how to optimize the thickness of a microelectromechanical systems (MEMS) mirror coating material for maximum reflectivity. To reduce the simulation time, a Layered Impedance Boundary Condition is used to model the thin coating material on top of the metallic ... Read More
This model demonstrates how the sun causes 1.75 arcseconds of deflection for rays grazing the sun's surface as observed from the earth. Einstein predicted this value after refining his theory of relativity during World War I. Read More
When the Vdara hotel first opened in Las Vegas, visitors relaxing by the pool would experience intense periods of heat at certain times of the day, at certain times of the year. This intense heat was caused by the reflection of solar radiation from the curved, reflective surface on the ... Read More
In this example, the properties of an engineeredmaterial are modeled by a spatially varying dielectric distribution. Specifically, a convex lens shape is defined via a known deformation of a rectangular domain. The dielectric distribution is defined on the undeformed, original ... Read More
Electromagnetic waves that are confined to propagate along a surface, such as surface plasmon polaritons (SPPs), are of great research interest due to their potential applications in nanoscale manipulation of light. This model demonstrates how to set up a simulation of the propagation ... Read More
A common verification problem for geotechnical problems is a shallow stratum layer of clay. In this example a vertical load is applied on the clay strata and the static response and the collapse load are studied. The clay is modeled as an elastic-perfectly plastic material and the ... Read More
This example demonstrates how to set up a spatially varying dielectric distribution. Here, a convex lens shape is defined via a known deformation of a rectangular domain. The dielectric distribution is defined on the undeformed, original rectangular domain and is mapped onto the deformed ... Read More
