The Application Gallery features COMSOL Multiphysics® tutorial and demo app files pertinent to the electrical, structural, acoustics, fluid, heat, and chemical disciplines. You can use these examples as a starting point for your own simulation work by downloading the tutorial model or demo app file and its accompanying instructions.
Search for tutorials and apps relevant to your area of expertise via the Quick Search feature. Note that many of the examples featured here can also be accessed via the Application Libraries that are built into the COMSOL Multiphysics® software and available from the File menu.
How the open-circuit voltage (OCV) of a lithium-ion battery varies with the state of charge is governed by various physical properties such as the thermodynamics of the electrode reactions, the relative capacities of the electrode materials, and the amount of cyclable lithium, but also ... Read More
Side reactions and degradation processes may lead to a number of undesirable effects, causing capacity loss in lithium-ion batteries. Typically, aging occurs due to multiple complex phenomena and reactions that occur simultaneously at different places in the battery, and the degradation ... Read More
Large lithium-ion batteries are widely deployed in electric vehicles and for stationary energy storage applications. In the (stacked) pouch battery cell design, all current exits the cell on the cell "tabs", and as the cell size and power increase, the voltage gradients in the highly ... Read More
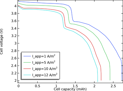
This tutorial digs deeper into the investigation of rate capability in a battery and shows how the Lithium-Ion Battery interface is an excellent modeling tool for doing this. The rate capability is studied in terms of polarization (voltage loss) or the internal resistance causing this ... Read More
The liquid electrolyte in lithium-ion batteries (LIBs) typically consists of a lithium salt, such as LiPF6, dissolved in one or several solvents. Commercial LIBs commonly employ a mix of multiple hydrocarbon-based solvents along with additional additives. In an electrolyte consisting of ... Read More
Electrode balancing is an important factor in the design of lithium-ion batteries. In this model, use the experimental open-circuit voltage of a cell and some basic assumptions, followed by an optimization solver, to find a proper electrode balancing. Get more details in this ... Read More
The following example is a 2D tutorial model of a lithium-ion battery. The cell geometry is not based on a real application; it is only meant to demonstrate a 2D model setup. Read More
Lithium iron phosphate (LFP) is a common positive electrode material in lithium-ion batteries. Specific for the LFP electrode material is that its equilibrium (open circuit) potential, when defined as a function of the lithiation state, features a large flat plateau with a more or less ... Read More
Deposition of metallic lithium on the negative electrode in preference to lithium intercalation is known to be a capacity loss and safety concern for lithium-ion batteries. Harsh charge conditions such as high currents (fast charging) and/or low temperatures can lead to lithium plating. ... Read More
Rechargeable lithium-air batteries have recently attracted great interest mainly due to their high energy density. The theoretical value is about 11400 Wh/kg which is around 10 times greater than the lithium-ion batteries. In this tutorial, discharge of a lithium-air battery is ... Read More
