See How Modeling and Simulation Is Used Across Industries
Multiphysics modeling and simulation drives innovation across industries and academia — as is evidenced by the many uses showcased in the technical papers and posters presented by engineers, researchers, and scientists at the COMSOL Conference each year.
Draw inspiration from the recent proceedings collected below, or, to find a specific presentation or filter by application area or conference year/location, use the Quick Search tool.
View the COMSOL Conference 2025 Collection
储氢合金的PCT曲线和氢化动力学性能是描述合金储氢性能的重要标准,目前对合金的PCT曲线测试一般采用体积法,对合金氢化反应动力学的研究一般采用等容差压法。但在实际生产过程中,储氢合金通常是在恒定氢气流速的情况下工作的,所以研究合金在恒定氢气流速条件下的吸氢动力学性能很有必要。与实验相比,采用数值模拟预报合金的吸放氢性能节省了大量的时间和成本,具有突出优势。目前金属Pd及其合金被广泛应用于储氢及氢气纯化等领域,我们通过COMSOL软件建模,构建Pd吸氢热力学与动力学特性模型,选用传热、流体流动、域常微分等物理场模块建立了Pd在恒定氢气流速下吸氢动力学的计算模型 ... Read More
人体的组织和器官处于正常与病变状态的电导率存在差异,通过组织电学特性的改变有望早期发现生理、病理异常,为疾病早期诊断提供数据支持。磁声电成像是一种新兴的电学成像方法,置于静磁场和声场中的目标体受到洛伦兹力的作用,而产生电荷分离,进而在目标体中形成随超声传播而变化的电流分布,通过电极或线圈检测实现信号的测量,进一步实现电特性成像。在进行电特性成像过程中,电流密度的分布对于磁声电成像系统的设计意义重大。 本文以COMSOL Multiphysics 仿真计算平台为基础,使用声学、结构力学、AC/DC模块搭建磁声电成像有限元计算模型,声学模块用于计算声场分布 ... Read More
摘要:机械搅拌作为一种重要的混合技术在化工生产、环保安全、生物制药等领域有着广泛的应用。搅拌效率和流场的分布是衡量搅拌质量的重要指标。然而,在层流搅拌流场中,搅拌桨周期性的扰动产生环形动力流场,搅拌槽内普遍存在混合隔离区,成为实现高效混合的主要障碍。合理的设计搅拌反应器强化流体流动与混合行为,是实现流体高效节能的重要手段。本研究基于有限元方法采用COMSOL-Multiphysics®分析平台的搅拌器模块中的层流接口进行模拟计算,参照搅拌器模块“案列库”中的“模块化搅拌器”边界条件,采用滑动网格技术求解 Navier-Stokes 方程模拟中低雷诺数的瞬态搅拌流动 ... Read More
在页岩或致密储层油气开发过程中,水力压裂技术得到了广泛引用。在传统的油藏数值模拟中,裂缝参数如导流能力等一般是给定值,而在低渗致密储层实际开发过程中,受铺砂浓度等影响,压裂裂缝只有部分发挥增产效果,可以称之为有效裂缝。 考虑铺砂浓度随裂缝长度的变化关系,基于COMSOL地下水模块和裂隙流模块,建立了致密砂岩储层压裂开发渗流数值模型。模型通过对达西定律模型进行修改,以考虑启动压力梯度对渗流规律的影响。同时针对致密储层的两种裂缝形态:经典长缝和网状体积缝,分别进行了有效缝长和有效改造体积的定量分析与评价。 本文从铺砂造缝,储层特性,生产制度等方面进行影响因素分析 ... Read More
借助数值模拟技术及煤层气排采经验分析排采过程中流体流动运移规律,能够为煤层气井智能排采提供技术支持。本文以某煤层气井地质与开发工程为基础,借助COMSOL软件构建求解数值模型,实现了煤层气排采动态分析及排采制度优化。取得以下主要研究成果: (1)采用含压裂裂缝的Warren-Root物理模型,以达西渗流理论知识为基础,建立了封闭可求解的煤层气排水降压数学模型。 (2)利用二维面和三维长方体叠加的混合法构建压裂裂缝,利用混合法求取边界流量,解决裂隙通量计算误差,提高了计算效率和流量统计准确率。 (3)以参数化扫描研究方法为基础,优化了该井的排采制度 ... Read More
旋动血流是人体中广泛存在的一种正常生理现象,它可以提高壁面剪切力,抑制动脉粥样硬化、内膜增生、血栓粘附等疾病的发生。但是对其产生的原因,一直没有确切的定论。鉴于下肢动脉内壁具有螺旋褶皱,螺旋型支架可以引导旋动流,我们提出一种新型内壁有螺旋褶皱的血管模型。 在COMSOL 中,借助CFD及结构力学模块添加多物理场。对模型进行血流-血管流固耦合仿真,研究血流的流动模式,计算血液流动在心动周期不同时期的血管形变、壁面剪切力、血流速度和流线分布。血流采用不可压缩非牛顿流体,血管使用线性、各向同性线弹性材料。在边界条件方面,入口采用层流流入,速度符合脉动曲线。出口压力符合压力曲线 ... Read More
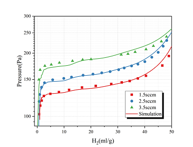
氢能燃烧值高且无污染,被认为是人类社会摆脱对化石能源依赖的理想能源。目前氢能应用的主要瓶颈是氢存储。而氢存储的主要方式中,金属氢化物因其安全性高,循环性能好的优点,得到广泛的研究。但由于金属氢化物吸放氢反应的热效应、粉末床的传热和传质特性较差等问题,贮氢罐的吸放氢速率下降,成为限制应用的主要因素。最近十几年,贮氢罐吸放氢过程的数值模拟及相关模型得到广泛的研究。通过数值模拟方法可以优化设计贮氢罐,以期满足实际应用中的需求,同时节约设计成本。本文面对贮氢罐的实际指标(吸氢速率1.5 L min-1),采用COMSOL软件中的多孔介质传热、地下流动以及数学模块 ... Read More
无线电能传输技术在电力、能源和汽车等领域得到了越来越广泛的关注与应用。目前随着电力和电子产品功能的完善与升级,对电能功率的需求日益增强,无线电能传输技术为匹配这些需求,正朝着大功率和远距离的趋势发展。但是功率的加大,线圈损耗功率往往也随之增大,线圈损耗造成的线圈温升,线圈的温升会带来系统绝缘老化和系统性能降低等一系列问题,因此无线电能传输技术线圈温升的计算与预测对于无线电能传输系统设计有着非常重要的意义。 本文以COMSOL Multiphysics 仿真计算平台为基础,使用AC/DC模块、固体和流体传热和层流模块搭建无线电能传输有限元计算模型,AC ... Read More
熔喷是工业上用于制备微米纤维非织造布的一种工艺方法。在熔喷过程中,高聚物熔体经过高速、高温气流的拉伸,在接受装置上固化结晶形成微米纤维非织造布。由于熔喷材料具有很高的比表面积,因而具备良好的过滤性、吸附性、隔离性,可用于过滤材料、隔离材料、吸纳材料、口罩材料等领域。熔喷材料的优异性能是基于熔喷纤维的微纳米级的尺度,降低纤维的直径有利于提高熔喷产品的性能。由于纤维的拉伸细化发生在气流场的运动过程中,因此对纤维运动的研究具有重要意义。本研究将高聚物与气流所形成的混合体系作为两相流来处理。我们采用Comsol multiphysics 的水平集方法对熔喷过程的高聚物 ... Read More
