Discussion Closed This discussion was created more than 6 months ago and has been closed. To start a new discussion with a link back to this one, click here.
Symmetric Sum Notation
Posted Jun 21, 2019, 2:49 a.m. EDT Version 5.2a 0 Replies
Please login with a confirmed email address before reporting spam
Hi all,
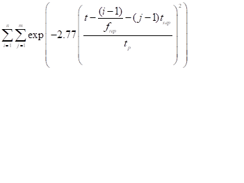
I want to excuite the Symmetric Sum Notation in comsol , please help me out to implement this function (appended in the below) in comsol.
thanks Kiran
Attachments:
Hello Kiran Kabothu
Your Discussion has gone 30 days without a reply. If you still need help with COMSOL and have an on-subscription license, please visit our Support Center for help.
If you do not hold an on-subscription license, you may find an answer in another Discussion or in the Knowledge Base.
