Discussion Closed This discussion was created more than 6 months ago and has been closed. To start a new discussion with a link back to this one, click here.
Attempt to evaluate real square root of negative number. - Function: sqrt Failed to evaluate variable. - Variable: comp1.mf
Posted Apr 9, 2020, 6:22 a.m. EDT Fluid & Heat, Heat Transfer & Phase Change, Computational Fluid Dynamics (CFD) Version 5.5 2 Replies
Please login with a confirmed email address before reporting spam
Hello Everyone,
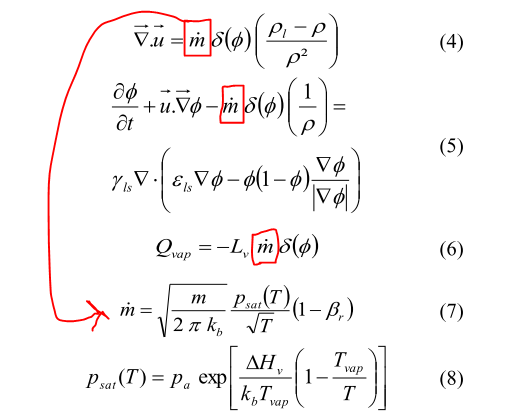
I am doing a simulation on laser keyhole welding and I am getting the following error: Attempt to evaluate real square root of negative number. - Function: sqrt Failed to evaluate variable. - Variable: comp1.ṁ (errors related to this ṁ variable: please see the attached figure. I have encircled this variable with red pen) I am trying to remove this error like last month. This "ṁ" variable (mass flow rate) has only one parameter in the square root which is Temperature (T) and I even put a boundary condition as T>Tvap. Smoothed the material properties. Refined the mesh. But no luck in solving this error. I request to all elite members to comment on it. I would be grateful to you. Thank you.
Attachments:
