Discussion Closed This discussion was created more than 6 months ago and has been closed. To start a new discussion with a link back to this one, click here.
2D Diffusion with enzyme kinetics using transport of dilute species
Posted Mar 5, 2022, 2:51 p.m. EST Parameters, Variables, & Functions, Equation-Based Modeling Version 6.0 1 Reply
Please login with a confirmed email address before reporting spam
I have the Comsol multiphysics 6.0 academic class kit license.
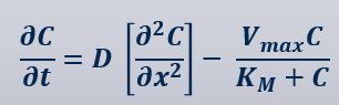
I am trying to model for 2d diffusion of pepsin with Michaelis menton chem kinetics using 'transport of diluted species' interface and 'time dependent' study (see image 3). I have defined the constants (vmax, km) in the 'global definititions parameters1' section to be used as part of the MM equation (see image 1). However when I add the 'reactions' option to the model, it only lets me input a single reaction rate Rc (see image 2). How can I can change this predefined equation to input the MM term - vmax x c / (km + c) and call the predefined constants from global definitions? I dont have access to the chemical engineering module on my current license, so hoping you can help. Thanks!
