Note: This discussion is about an older version of the COMSOL Multiphysics® software. The information provided may be out of date.
Discussion Closed This discussion was created more than 6 months ago and has been closed. To start a new discussion with a link back to this one, click here.
How to make equations nonlinear in PZD interface?
Posted Aug 7, 2012, 7:40 a.m. EDT Modeling Tools & Definitions, Parameters, Variables, & Functions, Structural Mechanics Version 4.3 1 Reply
Please login with a confirmed email address before reporting spam
I have made a model of piezo resonator on base of piezoelectric interface. Now I try to take into account the nonlinearity.
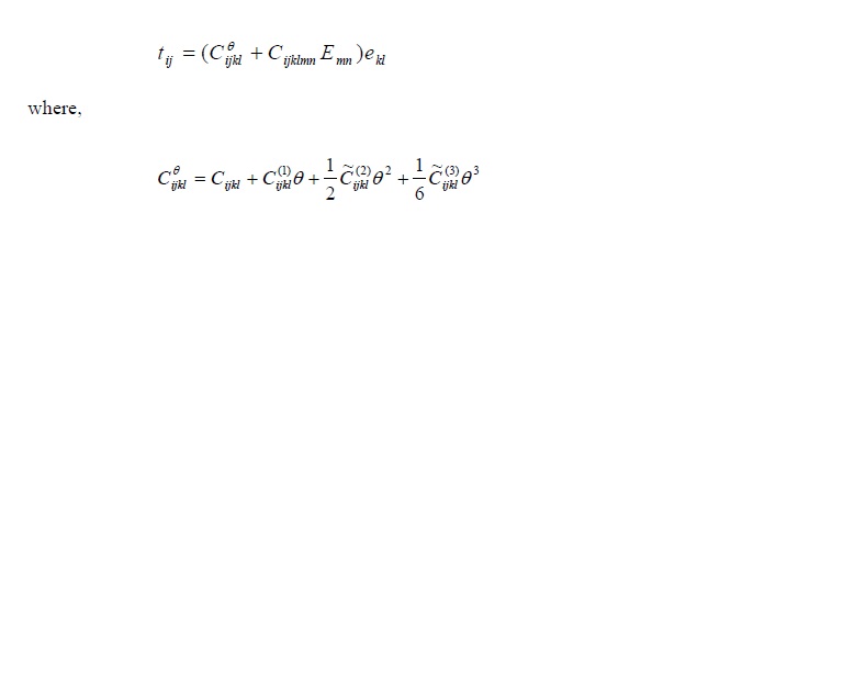
So Comsol use formula1(attach) to calculate stress tensor from stain tensor. I want to use formula2 or formula3 to get nonlinearity and temperature dependence of model.
I cant find the way to change piezoelectric interface equations because there is no place to add new material properties as third order elastic constants (Cijklmn).
I tried to use physics builder to make my own piezoelectric interface, but the problem is I cant multiply elasticity matrix (6x6 matrix) by strain matrix (3x3 matrix). I know, that elasticity matrix is tensor 4th order (3x3x3x3) but Comsol use 6x6 matrix.
Thanks in advance
Konstantin
So Comsol use formula1(attach) to calculate stress tensor from stain tensor. I want to use formula2 or formula3 to get nonlinearity and temperature dependence of model.
I cant find the way to change piezoelectric interface equations because there is no place to add new material properties as third order elastic constants (Cijklmn).
I tried to use physics builder to make my own piezoelectric interface, but the problem is I cant multiply elasticity matrix (6x6 matrix) by strain matrix (3x3 matrix). I know, that elasticity matrix is tensor 4th order (3x3x3x3) but Comsol use 6x6 matrix.
Thanks in advance
Konstantin
Attachments:
1 Reply Last Post Aug 9, 2012, 6:38 a.m. EDT
