Discussion Closed This discussion was created more than 6 months ago and has been closed. To start a new discussion with a link back to this one, click here.

Modeling nonlinear lumped viscous damper

Please login with a confirmed email address before reporting spam

Hello, i m trying to model a plate where I attach some particle dampers modelled as a equivalent nonlinear viscous damping coefficient(Ceq) and a mass(Md). (lumped damper and mass).(see picture) The problem is that the equivalent nonlinear viscous damping coefficient depend on: levels of excitation (frequency ) ,the excitation velocity amplitude and the second invariant deviatoric stress. My question is: 1 how can i add Md and Ceq to the equation of motion Ma+Ks+Cv=F? My idea is using lumped mass-spring-damper physics but since Ceq is a big and complex equation depending on the above parameters should i instead PDE module (weak form ). 2) should i first study the plate without the damper and use the excitation velocity amplitude and the second invariant deviatoric stress result to add them to the full system? PS: i have solid mechanical structure physics coupled with pressure acoustic(frequency ).

i want to study the pressure attenuation in the air of the vibration of plate in frequency domain due to a point load.

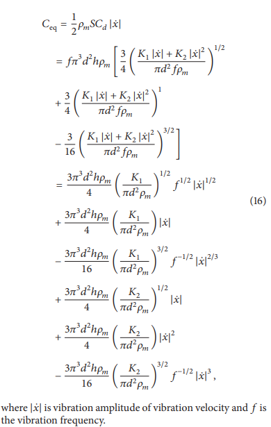
I attach scheme of the plate plus dampers and equation that i have to implement. thanks in advanced



3 Replies Last Post Sep 6, 2024, 4:27 a.m. EDT
Henrik Sönnerlind COMSOL Employee

Please login with a confirmed email address before reporting spam

Posted: 1 year ago Sep 3, 2024, 4:44 a.m. EDT

I think the best option is probably to add Spring-Damper features in the Plate interface, and enter the long expression as damping coefficient.

This will give you a nonlinear frequency domain problem. The solver can handle this, though. Just be careful not to have anything that is nonlinear in the displacement. That is not compatible with the assumptions about harmonic variation of the displacements.

Thus, it is OK to have a damping coefficient that depends on the amplitude abs(u), but not directly on the complex-valued u.

-------------------
Henrik Sönnerlind
COMSOL
I think the best option is probably to add *Spring-Damper* features in the Plate interface, and enter the long expression as damping coefficient. This will give you a nonlinear frequency domain problem. The solver can handle this, though. Just be careful not to have anything that is nonlinear in the displacement. That is not compatible with the assumptions about harmonic variation of the displacements. Thus, it is OK to have a damping coefficient that depends on the amplitude *abs(u)*, but not directly on the complex-valued *u*.

Please login with a confirmed email address before reporting spam

Posted: 1 year ago Sep 4, 2024, 8:22 a.m. EDT

Dear Henrik, since my model is mass-damper and not spring damper it could not work. I attach model to have an idea where the lumped mechanical system is attached to one point of the structure using some default value for damping and mass coefficient. My problem now are two: when i m trying to study the problem, i got an hanging node exactly where i put the discrete damper. (I have tried to refine the mesh but it's still not working or using create vertex). I add the coupling between the lumped and the mechanical structure but i do not know which are the source input and output of the coupling since it' all the structure that is coupled and not point. do you have any hint? PS i attach also the article which i m trying to reproduce: Vibration Response Prediction of Plate with Particle Dampers Using Cosimulation Method

Dear Henrik, since my model is mass-damper and not spring damper it could not work. I attach model to have an idea where the lumped mechanical system is attached to one point of the structure using some default value for damping and mass coefficient. My problem now are two: when i m trying to study the problem, i got an hanging node exactly where i put the discrete damper. (I have tried to refine the mesh but it's still not working or using create vertex). I add the coupling between the lumped and the mechanical structure but i do not know which are the source input and output of the coupling since it' all the structure that is coupled and not point. do you have any hint? PS i attach also the article which i m trying to reproduce: Vibration Response Prediction of Plate with Particle Dampers Using Cosimulation Method


Henrik Sönnerlind COMSOL Employee

Please login with a confirmed email address before reporting spam

Posted: 1 year ago Sep 6, 2024, 4:27 a.m. EDT

In the sketch you attached to the first posting, it looks like 'grounded' dampers. If there is a mass at the end of the damper, one possibility is to use a Lumped Mechanical System.

However, you can also use a bit of equation based modeling, in which case you do not need to add another physics interface. Here is a quick outline:

  1. Add a Global Equations node, and enter a new variable with, for example, the name w1. This represents the vertical displacement of the mass.
  2. Add a Spring-Damper with the Source Point attached to the plate. Enter the expression for the damping.
  3. For Destination, select Prescribed displacement. Enter w1 as displacement in the z-direction.
  4. Add a Weak Contribution with the expression damper_mass*(2*pi*freq)^2*w1*test(w1). This represents the kinetic energy of the mass, and provides the contribution to the mass matrix that you need.
-------------------
Henrik Sönnerlind
COMSOL
In the sketch you attached to the first posting, it looks like 'grounded' dampers. If there is a mass at the end of the damper, one possibility is to use a Lumped Mechanical System. However, you can also use a bit of equation based modeling, in which case you do not need to add another physics interface. Here is a quick outline: 1. Add a Global Equations node, and enter a new variable with, for example, the name w1. This represents the vertical displacement of the mass. 2. Add a Spring-Damper with the Source Point attached to the plate. Enter the expression for the damping. 3. For Destination, select Prescribed displacement. Enter w1 as displacement in the z-direction. 4. Add a Weak Contribution with the expression damper_mass\*(2\*pi\*freq)^2\*w1\*test(w1). This represents the kinetic energy of the mass, and provides the contribution to the mass matrix that you need.

Note that while COMSOL employees may participate in the discussion forum, COMSOL® software users who are on-subscription should submit their questions via the Support Center for a more comprehensive response from the Technical Support team.