Discussion Closed This discussion was created more than 6 months ago and has been closed. To start a new discussion with a link back to this one, click here.

Implementation of Weak Form PDE from PDE interface for battery charging discharging cycle

Please login with a confirmed email address before reporting spam

Hello,

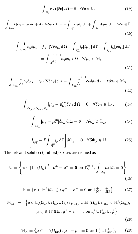
I'm trying to build a Lithium-ion Battery model using Weak Form PDE from PDE interface in mathematics module, not using the lithium ion battery physics in Batteries module.

I want to implement a charge-discharge cycling condition using Weak Form PDE from PDE interface in mathematics module, but I don't know how to do this.

I know the way to applying the charge-discharge cycle in Lithium Ion Battery Physics, but I want to know the way to applying the charge-discharge cycle using Weak Form PDE from PDE interface Physics.

Please provide the way, how can i Implement this?

Thanks for reading,

Prakash



0 Replies Last Post Oct 2, 2025, 10:00 a.m. EDT
COMSOL Moderator

Hello Prakash Kumar

Your Discussion has gone 30 days without a reply. If you still need help with COMSOL and have an on-subscription license, please visit our Support Center for help.

If you do not hold an on-subscription license, you may find an answer in another Discussion or in the Knowledge Base.

Note that while COMSOL employees may participate in the discussion forum, COMSOL® software users who are on-subscription should submit their questions via the Support Center for a more comprehensive response from the Technical Support team.