Note: This discussion is about an older version of the COMSOL Multiphysics® software. The information provided may be out of date.
Discussion Closed This discussion was created more than 6 months ago and has been closed. To start a new discussion with a link back to this one, click here.
Is “electric conductivity” necessary in RF module?
Posted Oct 1, 2014, 4:53 a.m. EDT Materials Version 4.3b 10 Replies
Please login with a confirmed email address before reporting spam
I tried setting electric conductivity based on its relation with relative permittivity:
electric conductivity=i*emw.omega*epsilon0_const*(relative permmitivity-1).
After recalculating, I found that even near field electric norm was different from before.
I am confused. For noble metal such as gold and silver, is “electric conductivity” necessary?
Please login with a confirmed email address before reporting spam
Permittivity and electrical conductivity enters Maxwell wave equation for electric field in the combination
eps_c=eps-j*sigma/omega= (eps’-j*eps”)-j*sigma/omega
Therefore, medium can be considered alternatively either
-as a medium of real permittivity eps’ and effective conductivity sig_eff=sig+omega*eps”
or
-as a dielectric medium of effective permittivity eps_eff=eps’-j*(eps”+sig*omeg) and zero conductivity
Both formulations give the same result. In the example you are referencing to, the second approach is used since conductive losses of gold particle are frequency-dependent at optical frequency range and can be conveniently characterized by real and imaginary parts of permittivity.
Regards,
Sergei
Please login with a confirmed email address before reporting spam
Thanks for replying.
I reviewed Maxwell equation, and the equation under emw interface identifier. I gained some understanding about the combination “eps_c” and the effective medium.
For the second approach, I am still confused about this: the relative permittivity (eps’-j*eps’’) which we typed into comsol is not the effective permittivity eps_eff. And in the examples, we left electric conductivity sigma to be zero, which is also not effective conductivity sigma_eff=0. Then how does comsol get the combination “eps_c= (eps’-j*eps”)-j*sigma/omega”?
I want to know that in the combination “eps_c”, does comsol read the parameter sigma directly from what we typed in the material property---electric conductivity, or does it get sigma from relative permittivity based on their relation sigma=j*omega*epsilon0*(eps’-j*eps’’-1)?
In my model, I want to see “induced current density” and “charge distribution”. Since I set sigma=0 as comsol examples, when I choose “induced current density” to plot, there is nothing. Then how could I get “induced current density” and “charge distribution”?
I tried a basic model, radius=50nm silver sphere scattering, plane wave lambda=514nm incidence. When I typed eps=-9.7474-j*0.314625, sigma=0 or eps=1, sigma=10209-j*348730 (which was calculated from sigma=j*omega*epsilon0*(eps-1)), I got accurately same electric field enhancement. But when I typed eps=-9.7474-j*0.314625, sigma=10209-j*348730, the electric field enhancement changed. This puzzled me a lot. Can’t we input “eps” and “sigma” at the same time?
Best wishes.
Michael
Please login with a confirmed email address before reporting spam
In most general case, medium might have dielectric and conductive losses. In that case, you enter in Comsol expression eps”-j*eps” for permittivity and sig for conductivity. This case corresponds to the “Original Medium” of the attached table. Alternatives equivalent ways to describe this general case in Comsol would be to enter expressions for permittivity and conductivity as “Equivalent Medium 1” and Equivalent Medium 2” as shown in the same table. You proved that this equivalent formulation formats give the same result when you typed eps=-9.7474-j*0.314625, sigma=0 or eps=1, sigma=10209-j*348730.
Now, gold particle is a good conductor and has no dielectric losses. Losses of metals as a function of frequency usually are available from experimental data in terms of real and imaginary parts of dielectric constants (see for example P.B. Johnson and R.W. Christy, “Optical Constants of the Noble Metals”, Phys. Rev. B, vol. 6, pp. 4370−4379, 1972). In this case, conductive losses are completely described by effective permittivity eps_ec=eps’-j*eps” which you enter as permittivity in Comsol. There are no other losses, hence you enter sig=0 for conductivity.
Regarding your question: “does it get sigma from relative permittivity based on their relation sigma=j*omega*epsilon0*(eps’-j*eps’’-1)?”
-No, Comsol reads conductivity value directly from the “Electrical conductivity” you specify in the Materials node.
Regarding you next question: “But when I typed eps=-9.7474-j*0.314625, sigma=10209-j*348730, the electric field enhancement changed. This puzzled me a lot. Can’t we input “eps” and “sigma” at the same time?”
-This is wrong, since you accounting for conductivity losses twice. Imaginary part of permittivity (0.314625) already accounts for conductive losses and therefore you must set sigma=0.
Regards,
Sergei
Attachments:
Please login with a confirmed email address before reporting spam
Forgot to answer your question about induced current:
“In my model, I want to see “induced current density” and “charge distribution”. Since I set sigma=0 as comsol examples, when I choose “induced current density” to plot, there is nothing. Then how could I get “induced current density” and “charge distribution”?”
Induced current density is defined as Ji=sig*E. Since you set sig=0 then “there is nothing” under induced current density plot, as it should be.
Displacement or polarization current density is defined as Jd=j*omega*eps*E. You entered imaginary part in the permittivity for gold, which represent conductive losses here. Therefore, displacement current is actually induced current in this formulation.
Regards,
Sergei
Please login with a confirmed email address before reporting spam
Thanks for replying.
It seems that my theoretical study needs improvement to fully understand this “equivalent medium” and deal with it well. So let’s come to some conclusion and software operation which can solve my problem immediately.
The relative permittivity which comes from Johnson’s experimental data, in fact, is not the “original medium”, but “equivalent medium 2”. Is this understanding right? I regarded it as “original medium” before.
Then what about permittivity which comes from Drude model? Is it “equivalent medium 2” or “original medium”? ie, should we set sigma=0?
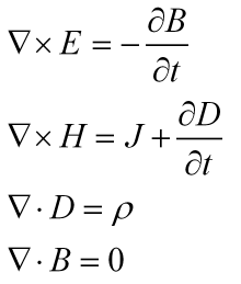
In my models, I usually use Johnson’s experimental data to define “eps”, just as example models. I want to plot charge distribution. Based on Maxwell’s equation in medium (see attachment 1), I entered “d(emw.Dx,x)+d(emw.Dy,y)+d(emw.Dz,z)” to plot. Is this right?Since D=eps*E, but here “eps” is from “equivalent medium 2”, I am confused whether D=eps*E is correct in this situation.
The “induced current density”. For “equivalent medium 2”, displacement current density has the expression in attachment 2. Its real part still has eps’’ except for sigma. Then why “displacement current is actually induced current in this formulation”?
Thanks for your patience. So kind of you.
Best wishes.
Michael
Attachments:
Please login with a confirmed email address before reporting spam
I do not really want to interfere with your high level Physics discussion, but one thing, you state different formulas with the variable name "eps".
Do not forget that COMSOL has defined an internal variable "eps" so be sure you do not use that name in your COMSOL model as you will get unexpected results out.
COMSOL's "eps" is the smallest real number differentiable from "1.000...", and has nothing to do with the Maxwell equations
But I suspect you know this already, and your comments are related to Physics and not numerical Math here
--
Good luck
Ivar
Please login with a confirmed email address before reporting spam
Thanks for your reminding. I don’t know “eps” is a COMSOL internal variable before. But in my models, I didn’t use “eps” as a variable, just defined interpolation function “eps_real” and “eps_imag” to read Johnson’s experimental data, and set gold’s relative permittivity as “eps_real(emw.freq)-i*eps_imag(emw.freq)”. The electric conductivity “sigma” is set to be zero, just as the example “optical scattering by gold nanoparticle”.
The software operation problem which I face is:
1,how to plot charge distribution and induced current density.
2,If Drude model is used to define gold’s relative permittivity (its expression in attachment), should I set electric conductivity sigma=0 as well?
Best wishes
Attachments:
Please login with a confirmed email address before reporting spam
then you should be on the "safe side" be aware that COMSOL has very many internal variables defined, (eps is only one of many...) and as COMSOL do allows to adapt them, by the users, it's easy to mix up and this might lead to very funny (or more catastrophic) results.
"My way" is to open a new COMOSL model with the same physics defined and then regularly check in the "Definition Parameter" section if the variable name gives something back, i.e. I define a Parameter "my_tst" and type in "eps" in the value to see what COMSOL proposes, when I get a value back it warns me that the variable might well be already in use ...
--
Good luck
Ivar
Please login with a confirmed email address before reporting spam
It's a good skill to avoid internal variables. Thank you.
Please login with a confirmed email address before reporting spam
1. In “Equivalent medium 2” formulation for metals, the effective permittivity is eps=eps’-j*eps” and conductivity is zero. Then the total current density is a superposition of the induced current
J_ind=omeg*eps”*E
and displacement current
J_d=j*omeg*eps’*E
There are losses associated with induced current and no losses associated with the displacement current, as shown in the attachment “Induced Current.png”.
You can plot induced current density using the above expression for “J_ind”. Expression D=eps*E is still correct in this formulation and you can calculate the charge density from the third Maxwell equation (Gauss law) as a divergence of the electric displacement.
2. Drude model was originally developed for conductors and express metal conductivity as a function of frequency. Again, two equivalent formulations can be used to implement this model, as shown in the attachment “Drude Model.png”. Both formulations should give the same result.
As I understand, your intension is to use formulation “Equivalent medium 2”. In that case, you specify effective permittivity and set conductivity to zero.
Alternatively, you can use “Drude-Lorentz dispersion model” option available in Comsol under the node “Wave Equation, Electric/Electric Displacement field model”, as shown in the attachment.
Regards,
Sergei
Note that while COMSOL employees may participate in the discussion forum, COMSOL® software users who are on-subscription should submit their questions via the Support Center for a more comprehensive response from the Technical Support team.
