Note: This discussion is about an older version of the COMSOL Multiphysics® software. The information provided may be out of date.
Discussion Closed This discussion was created more than 6 months ago and has been closed. To start a new discussion with a link back to this one, click here.
Define the power law plastic behavior
Posted May 20, 2015, 6:25 p.m. EDT Materials, Structural Mechanics Version 4.4 0 Replies
Please login with a confirmed email address before reporting spam
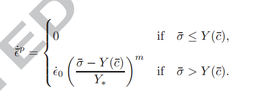
Recently I want to define the plastic behavior like d(solid.epe)/dt=A(solid.seff/solid.sY-1)^m, in which the plastic strain rate is determined by the effective stress. However, in the plasticity part in Solid Mechanic module, I didn't find how to define the plastic strain rate implicitly. Can anyone tell me how to make it?
Thanks,
Rong
Attachments:
Hello Rong Xu
Your Discussion has gone 30 days without a reply. If you still need help with COMSOL and have an on-subscription license, please visit our Support Center for help.
If you do not hold an on-subscription license, you may find an answer in another Discussion or in the Knowledge Base.
