Discussion Closed This discussion was created more than 6 months ago and has been closed. To start a new discussion with a link back to this one, click here.

İmplementing Function who has 2 different derivative functions for 2 different parameters

Please login with a confirmed email address before reporting spam

Hello Everyone

İve been trying to implement a function who has 2 different derivative functions for 2 different parameters.İ looked in the mathematics part bt i couldnt seem to find one that is suitable for it or i just dont know how to do it.Can someone please help me with this ive been trying to do this for the past 2 days

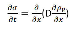
PS You can see the equation in the attachment the first one is what im trying to implement and the second one is to show what sigma is in the first equation


0 Replies Last Post Aug 11, 2015, 5:52 a.m. EDT
COMSOL Moderator

Hello Hakan Tarık Meriç

Your Discussion has gone 30 days without a reply. If you still need help with COMSOL and have an on-subscription license, please visit our Support Center for help.

If you do not hold an on-subscription license, you may find an answer in another Discussion or in the Knowledge Base.

Note that while COMSOL employees may participate in the discussion forum, COMSOL® software users who are on-subscription should submit their questions via the Support Center for a more comprehensive response from the Technical Support team.