Discussion Closed This discussion was created more than 6 months ago and has been closed. To start a new discussion with a link back to this one, click here.
defining the dual phase lag (DPL) Bio-heat equation in cofficient form of PDE mode(especially for Ivar)
Posted Mar 29, 2011, 1:33 a.m. EDT Heat Transfer & Phase Change 2 Replies
Please login with a confirmed email address before reporting spam
Hi
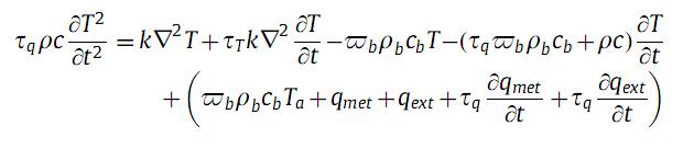
I have attached my DPL bioheat equation. I want to define this equation in coeffficient form of comsol 3.5. Can you suggest me how to dfine it in comsol (espacially the non-linear heat flux gradient term in right hand side of the DPL equation attached here).
Please help me with your comments.
thanks
Attachments:
2 Replies Last Post Mar 30, 2011, 2:39 a.m. EDT
