Discussion Closed This discussion was created more than 6 months ago and has been closed. To start a new discussion with a link back to this one, click here.
Coupling Thermoelectromechanical problems
Posted Nov 19, 2013, 6:27 a.m. EST 1 Reply
Please login with a confirmed email address before reporting spam
Hi All
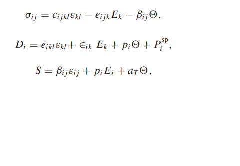
I want to coupled three things, thermal +structural + electrical problems and solve them all together not separately. Any idea how to do it in COMSOL. I ave attached the coupled equations.
Thanks,
I want to coupled three things, thermal +structural + electrical problems and solve them all together not separately. Any idea how to do it in COMSOL. I ave attached the coupled equations.
Thanks,
Attachments:
1 Reply Last Post Nov 21, 2013, 2:30 a.m. EST
