Note: This discussion is about an older version of the COMSOL Multiphysics® software. The information provided may be out of date.
Discussion Closed This discussion was created more than 6 months ago and has been closed. To start a new discussion with a link back to this one, click here.
Semiconductor Model
Posted Dec 15, 2014, 6:50 a.m. EST Version 4.4 1 Reply
Please login with a confirmed email address before reporting spam
                                                    Hi,
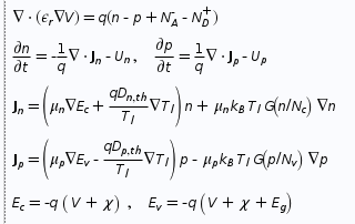
I would like to understand the terms in the equations that I attached.
What is Dn,th and how it is related to Dn?
What is the function G(n/Nc)?
thanks a lot,
Ron
                                            
                    I would like to understand the terms in the equations that I attached.
What is Dn,th and how it is related to Dn?
What is the function G(n/Nc)?
thanks a lot,
Ron
Attachments:
1 Reply Last Post Dec 17, 2014, 8:56 a.m. EST
                