The Application Gallery features COMSOL Multiphysics® tutorial and demo app files pertinent to the electrical, structural, acoustics, fluid, heat, and chemical disciplines. You can use these examples as a starting point for your own simulation work by downloading the tutorial model or demo app file and its accompanying instructions.
Search for tutorials and apps relevant to your area of expertise via the Quick Search feature. Note that many of the examples featured here can also be accessed via the Application Libraries that are built into the COMSOL Multiphysics® software and available from the File menu.
This parametrized model can be used to simulate the hopping hoop problem. A rolling ring with a point mass on the perimeter can, under certain conditions, jump up from the surface on which it is rolling. A more detailed description of this model can be found in the blog post "The ... Read More
Learn how to combine imported CAD with STL meshes in COMSOL Multiphysics using an example of a dental implant. The STL mesh is prepared in a Mesh Part, the imported CAD assembly is prepared in the Geometry sequence, and the two are combined in a Mesh-Based Geometry sequence. Watch this ... Read More
Surface reactions with adsorption-reaction-desorption steps are common in for example photocatalysis and biosensors. A flow cell in a biosensor contains an array of micropillars for adsorption of for example antigens in aqueous solutions. A signal proportional to the surface coverage can ... Read More
Learn how to repair, edit and combine imported surface meshes in COMSOL Multiphysics. This model demonstrates how to cut out a part of the upper jaw, remove elements from the mesh, and combine the meshes of the teeth and bone. Watch this video on editing, repairing, and combining ... Read More
As an analyte band flows through a curved channel in an electroosmotically driven flow, dispersion of the band occurs due to gradients in the fluid velocity across the channel. These velocity gradients result from differences in the electric field acting at the walls within the curved ... Read More
This example shows how to create a time-limited and hardware-locked application. It is associated with the section "Time-Limited and Hardware-Locked Applications" in the Application Programming Guide Read More
This example of a simulation application shows how to add a user-defined license agreement, which you can use to protect applications that you publish and distribute. Read More
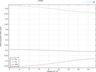
This example demonstrate the modeling of a plug flow reactor for the synthesis of ammonia in the Haber-Bosch process. The catalytic reactor in this process operates under non-isothermal conditions, where temperature and pressure varies substantially along the length of the reactor, in ... Read More
This model demonstrates how to model the inductive heating of a material with a temperature-dependent BH curve using the Magnetic Fields Formulation interface. Read More
This application generates both random and deterministic microstructures from imported CAD models or predefined primitive objects. Structures can be created using Gaussian random fields, random particles, periodic geometries such as gyroids and other TPMS structures, or combinations ... Read More
