Discussion Closed This discussion was created more than 6 months ago and has been closed. To start a new discussion with a link back to this one, click here.

Streamer Simulation Failure

Please login with a confirmed email address before reporting spam

Dear COMSOL Team,

I hope this message finds you well. I am currently working on simulating electrical streamers using COMSOL Multiphysics. I have set up the necessary variables and parameters for my model. However, I've encountered persistent errors when attempting to run the simulation. It seems that there are issues related to division by zero, and the program is unable to process some of the variables I've defined.

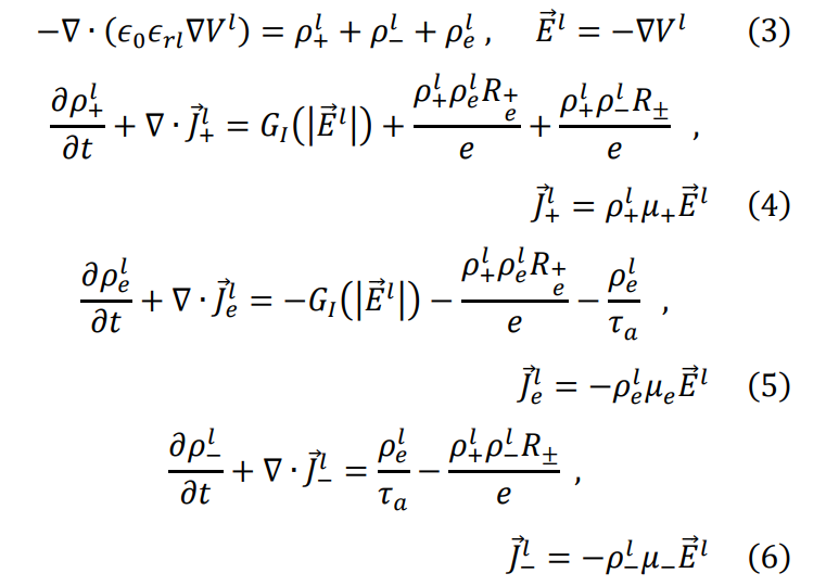
To provide you with more context and facilitate your assistance, I have attached my COMSOL model. When you run it, you'll be able to observe the error I'm encountering. Additionally, I've included the equations I've implemented to further aid in diagnosing the issue.

I would greatly appreciate your guidance and expertise in identifying and resolving these errors



0 Replies Last Post Nov 2, 2023, 4:05 p.m. EDT
COMSOL Moderator

Hello DG

Your Discussion has gone 30 days without a reply. If you still need help with COMSOL and have an on-subscription license, please visit our Support Center for help.

If you do not hold an on-subscription license, you may find an answer in another Discussion or in the Knowledge Base.

Note that while COMSOL employees may participate in the discussion forum, COMSOL® software users who are on-subscription should submit their questions via the Support Center for a more comprehensive response from the Technical Support team.