Discussion Closed This discussion was created more than 6 months ago and has been closed. To start a new discussion with a link back to this one, click here.
Electric field due to dipole in Comsol RF. Difference between closed form solution and comsol results
Posted May 16, 2024, 7:38 a.m. EDT Electromagnetics, RF & Microwave Engineering Version 6.1 2 Replies
Please login with a confirmed email address before reporting spam
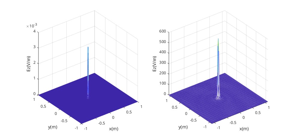
The field produced by the electric point dipole in COMSOL RF differs from that of the closed-form solution.
Simulation details:
- Simulation domain is a square region of side length 2.2m with 0.1m allocated for PML along all six sides
- Electric Dipole is located at the origin
- Dipole moment is 0.001Am along the Z direction.
- Frequency is 433 MHz
The closed-form expression is evaluated using the attached Matlab code, which implements the equations in the attached image in spherical coordinates and transforms the fields to cartesian coordinates. The absolute value of the field along the Z direction is plotted for the 2D slice at z=0.
Problem: The absolute values of electric fields are drastically different.
Question: Why is there a considerable deviation in the amplitude of electric fields? Is there anything wrong with the Comsol settings or the code implemented?
Can any one of you point out the issue?
